Накопление нефтяных углеводородов в донных отложениях
прибрежья Кольского полуострова.
Прибрежная зона Баренцева моря с многочисленными бухтами и заливами в наибольшей степени вовлечена в хозяйственную деятельность. Разгрузка наземной водной системы, функционирование гражданских и военных портов, временных стоянок обусловливают постоянный сброс на акваторию среди прочих загрязняющих веществ топлива, масел и других нефтепродуктов. Мурманским прибрежным течением нефтепродукты переносятся на восток вдоль береговой зоны и с приливными течениями попадают в губы, не имеющие собственных источников нефтяного загрязнения.
Вследствие высокой сорбционной способности компонентов нефти, их аккумуляции взвесью, осадки служат более надежным, чем вода, индикатором нефтяного загрязнения водных объектов.
Проведенные в 1999 г. исследования позволили наиболее полно изучить природу нефтяного загрязнения и компонентный состав углеводородов в Кольском и Мотовском заливах. По уровню аккумуляции нефтепродуктов донные отложения Кольского залива классифицируются как сильно загрязненные. Суммарное содержание нефтяных компонентов в них колеблется в интервале 960 - 7350 мг/кг. То есть естественный фон превышен в 50 - 370 раз. Лишь в устьевой части залива отложения можно классифицировать как среднезагрязненные.
Групповой состав нефтяных углеводородов в донных отложениях
Кольского залива, мг/кг сух. осадка.
|
||||||||||||||||||||||||||||||||||||||||
В групповом составе преобладают смолистые компоненты, на долю которых приходится 50-65% от их общей суммы. Наличие "горба" неразрешенных пиков углеводородных соединений отражает присутствие смеси окисленных и метаболизированных соединений. Оба этих признака, величина соотношений нормальных алканов (CPi) и изопреноидов свидетельствуют о существовании хронического источника нефтяного загрязнения.
Компонентный состав и уровни накопления НУВ в донных отложениях Мотовского залива существенно отличаются. Максимальное содержание углеводородов составляло 460 мг/кг осадка. Доля алканов, которые могут иметь как нефтяное, так и биогенное происхождение, составляет 48 - 59%. По суммарному содержанию НУВ осадки Мотовского залива можно охарактеризовать как средне- и слабозагрязненные.
В осадках губы Печенга общее содержание углеводородов еще ниже - от 8 до 112 мг/кг сухого осадка. Более "благополучной" выглядит ситуация в Кандалакшском заливе, где суммарная концентрация НУВ ниже фонового уровня для прибрежной зоны и составляет от 0,5 до 1,5мг/кг сухого осадка.
Максимум суммарной концентрации канцерогенных и мутагенных ароматических соединений (КПАУ) отмечен в южном и среднем коленах Кольского залива, входящих в промышленную зону Мурманска и Североморска. Композиционный состав ПАУ в донных отложениях прибрежья весьма разнообразен. В составе аренов доминируют полициклические соединения, что свидетельствует о значительном вкладе в загрязнение экосистемы залива продуктов сгорания нефтяного и угольного топлива. Концентрация бенз(а)пирена в Кольском заливе на два порядка выше, чем в целом по Баренцеву морю.
В отложениях Мотовского залива концентрация ПАУ варьирует в пределах 70 -180 мкг/кг сухого осадка.
Суммарное содержание аренов в губе Печенга варьирует от 124 до 3257 мкг/кг., что значительно ниже, чем в Кольском заливе. Доля полиароматических углеводородов относительно высока и составляет около 50%. В отложениях мористой части губы высока доля бенз(а)пирена - от 7.9 до 207 мкг/кг, что указывает на существование локального источника пирогенных ПАУ - береговых котельных или судовых энергетических установок.
В прибрежье Восточного Мурмана в композиционном составе ПАУ преобладают нафталины и антрацен, имеющие типично петрогенное происхождение соответственно. Сумма аренов в отложениях прибрежья составляет от 38 до 153 мкг/кг сухого осадка.
В Кандалакшском заливее ПАУ варьирует от 13 до 208 мкг/кг. По сравнительным оценкам суммарное содержание ПАУ в Кандалашском заливе идентично их концентрациям в Печорском море. В составе аренов преобладают пирогенные соединения, в том числе и канцерогенные. Основным их источником следует считать, по-видимому, Кандалакшский алюминиевый комбинат.
Таким образом, высокая степень вовлечения прибрежной зоны Баренцева моря в хозяйственную деятельность привела к накоплению в осадках, нефтяных и техногенных углеводородов. Несмотря на высокую биологическую продуктивность водных фитобиоценозов и материковому сносу органических веществ, доля биогенных углеводородов в осадках губ составляет 10-20%.
Наиболее распространенным радионуклидом в экосистеме залива является 137Сs. В среднем колене Кольского залива в слое осадка 2- 10 см в качестве источника гамма-излучения обнаруживается 60Со. В непосредственной близости от РТП "Атомфлот" кроме в 137Cs и 60Co в слое до 5 см обнаруживаются 152Eu 154Eu.
Состав атмосферного аэрозоля над акваториями прибрежной зоны.
По мере удаления от побережья в составе аэрозолей происходит уменьшение концентрации в Fe (1330 - 400 нг/м3), имеющего преимущественно терригенное происхождение и увеличение содержания "морского элемента" - Na (1110 - 2660 нг/м3). В зимний период концентрации микроэлементов, частности Ca (4290 - 800 нг/м3), Zn (1400 - 100 нг/м3), Sr (43,4 - 11 нг/м3), Cr (110 - 0,7 нг/м3), As (1,31 - 0,1 нг/м3) в 2-5 раз превышают летние значения. Указанные уровни концентраций определяются главным образом атмосферным переносом с юга. Существенное значение имеют и региональные источники. В целом уровни содержания наиболее токсичных веществ Cr, Zn, As в атмосферном воздухе над морской акваторией не превышают соответствующих значений для фоновых районов Европы. По мере удаления от мощного регионального источника антропогенных выбросов, каковым является Кольский полуостров, происходит снижение в 2-3 раза уровней концентрации "антропогенных элементов" - Zn, As, Se, Ca.
Загрязнение промысловых гидробионтов
Совместные исследования ММБИ, ПИНРО и Морской испекции Мурманскгоскомэкологии, проведенные в 1999 г., дали возможность оценить современный уровень загрязненности основных промысловых объектов Баренцева моря. В целом фон химического загрязнения основных промысловых объектов остается на низком уровне и не превышает уровня установленного "Гигиеническими требованиями к качеству и безопасности продовольственного сырья в пищевых продуктах" (1997).

Рис. 44. Сравнительное содержание алифатических углеводородов в мышцах и печени рыб Баренцева моря, мкг/г сырой массы, 1999 г.
Накапливаемые в организмах рыб и беспозвоночных алифатические углеводороды имеют преимущественно биогенный генезис. Однако, их концентрация невелика (рис.44) и хорошо согласуется с результатами, полученными в 1997 - 1998 гг. Хотя в западных промысловых районах содержание парафинов в мышцах рыб несколько выше, чем в центральных и восточных, значительных различий в уровне накопления алифатических соединений в зависимости от района вылова не обнаружено. В целом, содержание парафинов значительно ниже, чем, к примеру, в рыбах Балтийского моря.
Суммарное содержание ПАУ в мышцах промысловых видов рыб: трески, зубаток, сайды не превышало в среднем 14.9 нг/г сырой массы,(максимум 22.8 нг/л в тканях трески), что практически не отличается от результатов ранее проведенных (1997-1998 гг.) исследований (рис.45). Межгодовые различия накопления аренов укладываются в интервал дисперсии данных внутри вида.

Рис. 45. Среднее суммарное содержание ПАУ в мышцах баренцевоморских промысловых рыб, нг/г. 1999 г.
В мышечных тканях трески и сайды преобладает флуорантен, в тканях зубатки синей доминирует флуорантен и пирен, в мышцах зубатки полосатой и пинагора - фенантрен и пирен. К соединениям естественного генезиса можно отнести лишь фенантрен, входящий, видимо, в состав жиров, синтезируемых в организме пинагора (20.9%). Другие упомянутые ПАУ относятся к загрязняющим веществам техногенного происхождения и отражают степень антропогенного воздействия. Проявляющий канцерогенную активность бенз(а)пирен обнаружен только в мышцах трески и зубатки синей. Его концентрация сравнительно мала: в мышцах трески - 6-10%; в мышцах синей зубатки - от 4 до 20% от еПАУ. Несколько повышена концентрация этого соединения в районе Копытова.
Из группы пестицидов только сельдь накапливает относительно повышенное количество ГХЦГ - в среднем до 10 нг/г, что может быть вызвано высоким содержанием жира в мышечных тканях и нагулом в относительно более загрязненных районах Норвежского и Северного морей (рис. 46). Тем не менее уровень содержания еГХЦГ далек от допустимых норм (200 нг/г).
Рис. 46. Содержание хлорированных углеводородов в мышечных тканях баренцевоморских рыб, нг/г
Суммарная концентрация ДДТ и его метаболитов также максимально в рыбах с повышенным жиросодержанием - окуне, сельди, камбале-ерше. Накопление этих соединений отражает в большей степени предшествующую экологическую обстановку, так как метаболиты ДДТ трудно разлагаемы и плохо выводятся из организмов.
Средние концентрации суммарных величин отражены на рисунке 9. Рыбы проявляют некоторую избирательность в аккумуляции техногенных поллютантов ПХБ. В мышцах зубатки полосатой преобладают конгинеры ПХБ с номерами 52, 118, 138, 153, в мышцах зубатки синей - 101, 118, пинагора - 52, 101, сайды - 28. Треска же аккумулирует в большей степени конгинеры 101 (до 30%) и 118 (до 20%). Для сравнения можно указать, что содержание конгинеров с 6 атомами хлора в мышцах рыб Балтийского моря по данным различных литературных источников составляет 30 - 40%, отражая значительно более высокую степень техногенного загрязнения.
Отмечена высокая вариабельность величин содержания ХОС в мышечных тканях и в печени, что отчасти обусловлено низким уровнем их накопления. Можно отметить тенденцию относительного повышения концентраций хлорированных углеводородов в западной части моря (район Копытова, Норвежский желоб).
Нормативными требованиями к качеству пищевого сырья из всего спектра тяжелых металлов в рыбе и морских нерыбных объектах регламентируется лишь содержание Pb, Cd, Hg, Cu, Zn, As.
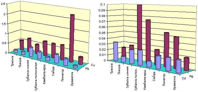
По материалам исследований, проведенных в 1999 г., содержание никеля, хрома, кобальта было ниже пределов обнаружения. Содержание свинца, кадмия и ртути варьировало в очень узком диапазоне и соответствовало природному фоновому уровню. Некоторые виды рыб, в частности донные, питающиеся бентосными организмами (зубатки, камбала-ерш и пинагор, а также креветка) обладают свойством накапливать ртуть, медь и цинк в несколько больших количествах (рис. 47). Объяснение этому можно искать не только в характере питания, а, в основном, в районах обитания выловленных экземпляров - в области, находящейся под влиянием береговых промышленных комплексов ("Печенганикель" и др.).

Рис. 47. Сравнительное содержание тяжелых металлов в мышечных тканях важных промысловых рыб Баренцева моря, мг/кг сырого веса. 1999 г.
Среднее содержание 137Cs в рыбе, по исследованиям 1999 г. находится на уровне минимально определяемой величины (<0.5 Бк/кг сырого веса). Установившиеся в настоящее время величины накопления этого радионуклида стабильно удерживаются на уровне 1994 г. Содержание 40K варьирует в диапазоне 49-81 Бк/кг сырого веса
Уровень накопления 137Cs водорослями (Laminaria sacharina, fucus vesiculosus) в прибрежье Кольского полуострова составили 0.45-2.3 Бк/кг сырого веса. В водорослях, произрастающих в Кольском заливе, содержание 137Cs составляло 0.2-2.9 Бк/кг сырого веса. В непосредственной близости от места сброса технологических вод РТП "Атомфлот" содержание этого нуклида в водорослях увеличено на порядок. В двух пробах, отобранных на этом участке, наблюдались также радионуклиды 152Eu, 60Co, 155Eu, 154Eu.
Таким образом, содержание искусственных радионуклидов в рыбах и водорослях в последнее время фактически не меняется, что свидетельствует о стабильной радиационной обстановке в регионе и отсутствию неконтролируемых или аварийных сбросов радионуклидов в морскую экосистему из их потенциальных источников.
В 1999 г. в рамках совместной с ПИНРО программы мониторинговых исследований специалистами ММБИ проведен авиаучет морских птиц и млекопитающих с использованием самолета лаборатории Ан-26 БРЛ "Арктика", а также стационарные наблюдения на архипелаге Семь Островов (Краснов, Николаева, 1999; Горяев, Краснов, 1999).
Установлено, что количество моевок на о. Харлов увеличилось на 5% по сравнению с 1998 г. Численность тонкоклювых и толстоклювых кайр возросла соответственно на 42 и 30%. Получено подтверждение успешной колонизации побережья Мурмана северной олушей. Было также отмечено, что на эффективность размножения почти всех массовых видов птиц-базарников значительное влияние оказывают браконьерский сбор яиц, охота и сопутствующий этому фактор антропогенного беспокойства.
По результатам проведенных ММБИ стационарных наблюдений в Кандалакшском заливе показано, что гренландский тюлень является обычным кочующим видом в этом районе. Основу кочующих групп в 1999 г. составляли сеголетки. В результате подкормки животных населением г. Кандалакши отмечено появление полуоседлой группы животных из числа сеголеток. Однако с появлением естественного кормового объекта - скоплений беломорской сельди, эта группа распалась.
В качестве источников централизованного хозяйственно-питьевого водоснабжения населения, в области используются 9 подземных и 47 поверхностных водоемов. Десять из них являются приемниками сточных вод, это реки Кола, Тулома, Ена, Нива, Паз. Ура, оз. Имандра, Пермус, Колозеро, Умбозеро. Значительному загрязнению подвергается оз. Монча, за счет аэрогенных переносов с комбината "Североникель".
Качество воды водоемов в местах водозаборов стабилизировалось, удельный вес нестандартных проб составил:
|
Случаев превышения нормативов по микробиологическим и санитарно-химическим показателям в 5 и более раз не зарегистрировано, по санитарно-химическим показателям нестандартные пробы регистрировались за счет превышения показателей по цветности и рН.
Методы водоподготовки не соответствуют нормативным требованиям из-за отсутствия водоочистных сооружений на 55 водопроводах, что составляет 82 %.
В 1999 году в водоемы области было сброшено 442,8 млн. м3 сточных вод из них загрязненных без очистки и недостаточно очищенных 362,08 млн. м , что составляет 81,7 %. С 1995 года объем сбрасываемых сточных вод изменялся в зависимости от объемов производства и составил:
|
В 1999 году объем сброшенных сточных вод увеличился в связи с ростом объемов производства.
Наибольший объем сбрасываемых недостаточно очищенных сточных вод приходится на следующие отрасли:
По состоянию на 01.01.2000г. в области эксплуатировалось 80 водопроводов, из них 28 коммунальных и 52 ведомственных.
Количество водопроводов, не отвечающих санитарным нормам и правилам, в сравнении с 1998 годом, уменьшилось и составило 53 (66,2 %) против 54 (68,3 %). Не имеют необходимого комплекса водоочистных сооружений 64 % на коммунальных водопроводах и 59,6 % ведомственных. На 2-х водопроводах (2,5 %) отсутствует и неудовлетворительно эксплуатируется обеззараживающая установка.
Государственный санитарный надзор осуществляется за всеми водопроводами.
Обеспеченность населения области централизованным водоснабжением составляет 96 % (Ловозерский район - 84,3 %, Терский район - 86,7 %, Ковдорский район - 98,8 %). Подача питьевой воды населению по графику на территории области не практикуется.
С введением в действие нового нормативного документа, устанавливающего гигиенические требования к качеству питьевой воды для централизованных систем питьевого водоснабжения и вынесением главным государственным санитарным врачом в Мурманской области Постановлением "О внедрении Сан ПиНа 2.1.4.559 - 96 "Питьевая вода. Гигиенические требования к качеству воды централизованных систем питьевого водоснабжения. Контроль качества", на территории Мурманской области проведена определённая работа.
Центрами госсанэпиднадзора продолжалась работа по контролю за доработкой и утверждением рабочих программ производственного лабораторного контроля качества воды по каждому водопроводу, согласно требований Сан ПиН 2.1.4.559 - 96 "Питьевая вода. Гигиенические требования к качеству воды централизованных систем питьевого водоснабжения. Контроль качества". На 01.01.2000г. разработано и согласовано 74 рабочих программы, утверждённых главами местных администраций.
Удельный вес анализов водопроводной воды, не соответствующих требованиям Сан ПиН 2.1.4.559 - 96 "Питьевая вода..." по области по санитарно-химическим показателям составил: по коммунальным водопроводам - 14,3 % и ведомственным 12,7 %; по микробиологическим - коммунальные - 0,8 % и ведомственные - 0,9 %.
Показатели качества питьевой воды централизованного питьевого водоснабжения населения области за 5 лет составили:
|
|||||||||||||||||||||||
Несоответствие качества питьевой воды по санитарно-химическим показателям отмечается по органолептическим свойствам, но ниже нормативов ПДК. Отклонения по санитарно-химическим показателям отмечались на водопроводе г. Мончегорска в паводковый период по никелю в концентрации 0,12-0,15 мг/л (5 проб от 1,2 до 1,5 ПДК).
Превышения нормативов в 5 % проб питьевой воды по микробиологическим показателям в соответствии с требованиями Сан ПиН 2.1.4.559-96 "Питьевая вода..." за последние 5 лет не установлено. В настоящее время проводится работа по ранжированию факторов риска с учётом численности населения по каждому водопроводу населённых мест территорий области.
|
||||||||||||||||||||||||||||||||||||||||||||||||||||||||||||||||||||||||||||||||||||||||||||||||||||||||||||||||||||||||||||||||||||||||||||||||||||||||||||||||||||||||||||||||||||||||||||||||||||||||||||||||||||||||||||||||||||||||||||||||||||||||||||||||||||||||||||||||||||||||||||||||||||||||||||||||||
Из-за неудовлетворительной эксплуатации и санитарно- технического состояния водопроводных сетей на ряде административных территорий качество питьевой воды превышает среднеобластной показатель (органолептические свойства) - с.Ловозеро, г.г.Заозёрск, Полярный, Мончегорск. Мурманск, Кандалакша. Североморск; микробиологическим показателям - г.г.Кандалакша, Заозёрск, Мурманск, Кольский район.
Изношенность разводящих сетей водопроводов в среднем составляет 60 - 65 % и в замене нуждается более 470 км.
За отчётный 1999 год на территории области зарегистрировано свыше 130 аварий и повреждений на сетях водопроводов со сроками ликвидации от 4 часов до 5 суток. После устранения аварийных ситуаций и проведения дезинфекции на участках проводимых работ проводится отбор проб и исследования по санитарно-химическим и микробиологическим показателям центрами госсанэпиднадзора.
Целевая региональная программа из-за отсутствия финансирования не разработана, хотя предложения органами госсанэпиднадзора выдавались.
На территории области в Кольском районе в отчётном году зарегистрирована вспышка острых кишечных инфекций водного характера.
В целях охраны здоровья населения для обеспечения санитарно-эпидемиологического благополучия по разделу коммунальной гигиены центрами госсанэпиднадзора за отчётный 1999 год на заседания администраций городов и районов подготовлено и вынесено 62 вопроса по выполнению санитарного законодательства РФ. Основными вопросами, выносимыми на рассмотрение в органы местного самоуправления, по которым приняты соответствующие решения, были: готовность объектов водопроводного хозяйства к эксплуатации в зимних условиях и паводковый период и обеспечение качественным централизованным питьевым и горячим водоснабжением населения. Проведено более 30 совещаний с владельцами водопроводов и руководителями жилищно-коммунального хозяйства по вопросам водоснабжения.
Совместно с представителями комитета экологии, общества охраны природы и водоканала, работниками УЖКХ и милиции и других заинтересованных служб было проведено 169 рейдов-проверок территорий по содержанию водоохранных зон и источников водоснабжения и территорий по санитарной очистке, благоустройству.
Информация о результатах проверок направлена в администрации городов и районов.
Центрами госсанэпиднадзора на 15 административных территориях области совместно с органами внутренних дел проводились проверки состояния антитеррористической защищенности объектов, в том числе водозаборов, водопроводных и канализационных сооружений.
По вопросам водоснабжения количество административных взысканий составило: в виде штрафов - 30 (1998г.-37), предупредительных - 24 и на юридическое лицо - 1. Одно дело передано в прокуратуру (Кольский район). Вынесено 1 Постановление о приостановке водопровода (г.Кандалакша).
Четыре вопроса были рассмотрены на комиссиях ЧС и санитарно-противоэпидемической (гг.Оленегорск и Кандалакша).